Megiddo wrote: Mon Mar 02, 2026 11:41 am
Hi Richard,
Yes, I mentioned that "Enoch" (SH) = 84 = The sum of the first 7 Triangles in my opening post here.
Hello my dear brother!
Yes, of course you did! Sorry for asking such an dumb question. I'm getting a little overwhelmed with all the patterns I'm reviewing simultaneously from you, Alex, LJ and Bill. But I'm lovin' it! Keep em coming!
Megiddo wrote: Mon Mar 02, 2026 11:41 am
I wouldn't say I'm scanning through an infinite set of formulas.
I wrote that shortly after I was reviewing this equation where you accidentally omitted the parentheses:
P(703) + P(2701) x 37 = T1480
That sent me down a rabbit path. I thought you were using the function
f(a,b) = P(T(a)) + P(T(b)) x a which seemed very arbitrary.
The actual function that you did use is
f(a,b) = [PT(a)) + P(T(b))] x a. It feels pretty much as random as the one I thought you used. I just can't see any logic for looking for patterns created by such functions. Where's the motivation for that particular function?
I highly respect your work Leo. You have found many important patterns. This may reveal my own shortcomings, but here's what I feel about patterns in the digits of pi: They are either meaningless coincidences OR they reveal an underlying necessary structure within pi. If the latter is true, then the first thing I would want to do is understand the exact mathematical nature of that patterns and prove revolutionary new theorems about the nature of pi that would be published in mathematical journals. If that underlying order can't be found, then it would suggest to me that the patterns are just the result of random coincidences. In either case, they are NOT the product of intentional divine design since they are necessary consequence of math.
I'm looking for the underlying UNITY of all the patterns we all see. I feel very strongly that I can create a coherent, mathematically defensible (under professional peer review), presentation of the patterns in Genesis, John & Deut. I don't feel that way about anything based on cherry picking or connections via unmotivated formulas connecting to the digits of pi. God may have done those things for His own reasons, but for the work He's given me to do, I need those things that are founded on the rock of objectively verifiable reality which bring glory to His Word by revealing a truly divine integration of the plain text of the 6 days of creation + Sabbath memorialized by God Himself in the pattern of the Menorah which is an unfolded centered hexagon which is a cube projected into 2D which is the basis of hexagonal numbers and echoed in the six directions of 3D space which forms the monogram of Jesus Christ IX with all of this miraculously encoded in the hex/star algebraic geometry of Genesis 1:1 which also is derived from symmetric self-intersection of equilateral triangles which create mirrored primes relating to differences of cubes (64 - 27 = 37 = H(4)) forming again the monogram of Jesus Christ through the Discrete Fourier Transform applied to the seven words of Genesis in the prime modular field Z/37Z based on the 37th ROOT OF UNITY = e^iπn/37, etc., etc., etc., etc., etc., etc.
I don't mean to overwhelm, but I feel like God has truly revealed His MATHEMATICALLY PERFECT DIVINE MIND in Genesis 1:1 and related verses. And it's totally COHERENT and UNIFIED and anything less than that only detracts from the glory of His revelation. Many people have seen fragments of this design. Pioneers like Jenkins and Bluer. We just need to work together to UNIFY all the fragments we have seen. No one has a vision of THE ALL. So we need to work together to clarify, organize, categorize, refine, condense down to the purest essence God intended until it all becomes ONE VISION that will enlighten the world to the truth of God's Word.
Psalm 12:6 The words of the LORD are pure words: as silver tried in a furnace of earth, purified seven times.
.
Megiddo wrote: Mon Mar 02, 2026 11:41 am
I simply used the 3/7 pattern (highlighting the foundational prime of 37) by taking the first 7 cubes, converting them into base 7 and then summing them back in base 10 (that's what I meant when I said we began with base 10 and ended with base 10):
1^
3 = 1 and 1 in Base
7 = 1
2^
3 = 8 and 8 in Base
7 = 11
3^
3 = 27 and 27 in Base
7 = 36
4^
3 = 64 and 64 in Base
7 = 121
5^
3 = 125 and 125 in Base
7 = 236
6^
3 = 216 and 216 in Base
7 = 426
7^
3 = 343 and 343 in Base
7 = 1000
Total sum = 1831 (in Base 10)
Genesis 5:24 (SH) = 1831
For anyone who wants to verify what I did, they can do so here :
https://www.rapidtables.com/convert/num ... erter.html
Yes your calculation of the sum of the first seven cubes is valid. It is 784 base 10 = 2200 base 7. The problem is you added those 7 individual base 7 cubes as if they were 7 base 10 numbers to get 1831 in base 10 rather than the correct sum of 2200 base 7. Yes, this number matches the gematria of Genesis 5:24, but that is a very circuitous route to get there! It feels contrary to the principles of reason that define mathematics itself. I can't imagine a serious teacher giving a puzzle to a math student that depended on the math student MISINTERPRETING the base to get the desired sum.
Please don't take any offense at anything I write. I respect your work VERY HIGHLY! Maybe I'm blind to the glory God has revealed to you. I'm a weak old man. All I know is that I feel like my mind is on fire with the light and love of God and His Truth. We must burn away all errors and all human pride and look for what GOD HIMSELF is teaching in His Word. We must come together in the unity of the faith and discern the truth of what God has really done here.
Megiddo wrote: Mon Mar 02, 2026 11:41 am
Surely you didn't think this was my only reason for believing in what I call "The Enoch Code"? As far as I'm aware, I was the first researcher in this community to emphasize the importance of
repeatedly self-referencing identities (where the highlighted convergence of Biblical identities has to be logically warranted and unambiguous). The real gem is Hexagon 631 and everything that flows from it.
You're right Leo. I most certainly do not think that! I was truly thrilled when I saw your emphasis on
repeatedly self-referencing identities. I've found that to be the hermeneutical key to God's Word. God Himself enacted this principle by repeatedly stating it in His Own Word!
Deu 17:6 At the mouth of two witnesses, or three witnesses, shall he that is worthy of death be put to death; but at the mouth of one witness he shall not be put to death.
Mat 18:16 But if he will not hear thee, then take with thee one or two more, that in the mouth of two or three witnesses every word may be established.
2Co 13:1 This is the third time I am coming to you. In the mouth of two or three witnesses shall every word be established.
Megiddo wrote: Mon Mar 02, 2026 11:41 am
I'm glad you can appreciate that "God took him" (SH) = Hexagon 631, while the outline of this Hexagon = "Enoch" (SH) = 84. However, all of this is just the beginning:
"Enoch" (SH) =
84
Enoch = The SEVENTH from Adam
84 ×
7 =
588
"The SEVENTH from Adam" (SG) =
588
That is a good hit! We need to organize all the evidence in a single unified diagram - a "holograph". That's why I chose that term.
Megiddo wrote: Mon Mar 02, 2026 11:41 am
Yes, Hexagon 631 accommodates Logos Star 373 (i.e. the Logos Star touches the edges of the Hexagon), which is significant because as you know, the Logos Star itself is built around 7 Stars of 37. As a matter of fact, the Star formed from this Hexagon yields 888 counters when sectioned off by the Logos Star (i.e. 1261 - 373 = 888) and "Jesus" (SG) = 888. I discovered this back in 2017.
It would be good to clearly state (and prove) the relation between KS(n,k) and the hexagons that contain them.
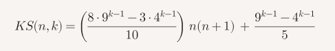
Did I mention that I've derived a formula for the Koch Star sequence? It requires two variables. One for the iteration (k) and one for the sequence of figurate numbers that fit that iteration.

- image.png (6.29 KiB) Viewed 231 times
KS(n,1) = T(n), KS(n,2) = S(n).

- image.png (14.95 KiB) Viewed 231 times
The highlighted primes are all
ABSOLUTE PRIMES (aka permutable primes). There very rare. Only 17 are known to exist, and they are all under 1000. They form seven groups. God used three of those groups in his Creation Holograph. Here they are - I've highlighted the ones God used in Creation Holograph:
{13, 31}, {17, 71},
{37, 73}, {79, 97}, {113, 131, 311}, {199, 919, 991},
{337, 373, 733}.
Could there be a better name for the primes God used in his Creation Holograph? And look! The six highlighted yellow in the table are all Koch Snowflake iterations. This is truly astounding.
The last group - the LOGOS group - is particularly stunning. The Number 337 = is the Star of David defines the LOGOS Star 373.
And 733? I'll let you guess for now. It's the capstone of everything I've seen!
Megiddo wrote: Mon Mar 02, 2026 11:41 am
I should probably answer your question before you ask it: The MEANING of the Enoch code is to highlight the typology of Christ in the first Prophet of the Bible.
Blessings,
Leo
That sounds very intriguing. I look forward to discussing it more.
May God continue to bless you mightily my brother,
Richard
Christ is King! Let us rejoice!